关于我校2026年湖南省单独招生一志愿录取名单公示
根据湖南省教育考试院《关于做好我省2026年高职院校单独招生工作具体事项的通知》要求,按照"公平竞争、公正选拔、公开透明、择优录取"原则,我校已顺利完成2026年单独招生一志愿的考试与录取工作。现将经湖南省教育考试院核查、学校招生工作领导小组审核确定的2026年单独招生一志愿拟录取考生名单予以公示。
一、公示时间
2026年3月29日至2026年4月2日。
二、公示与查询
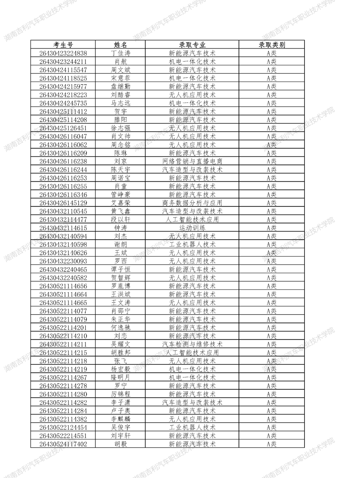
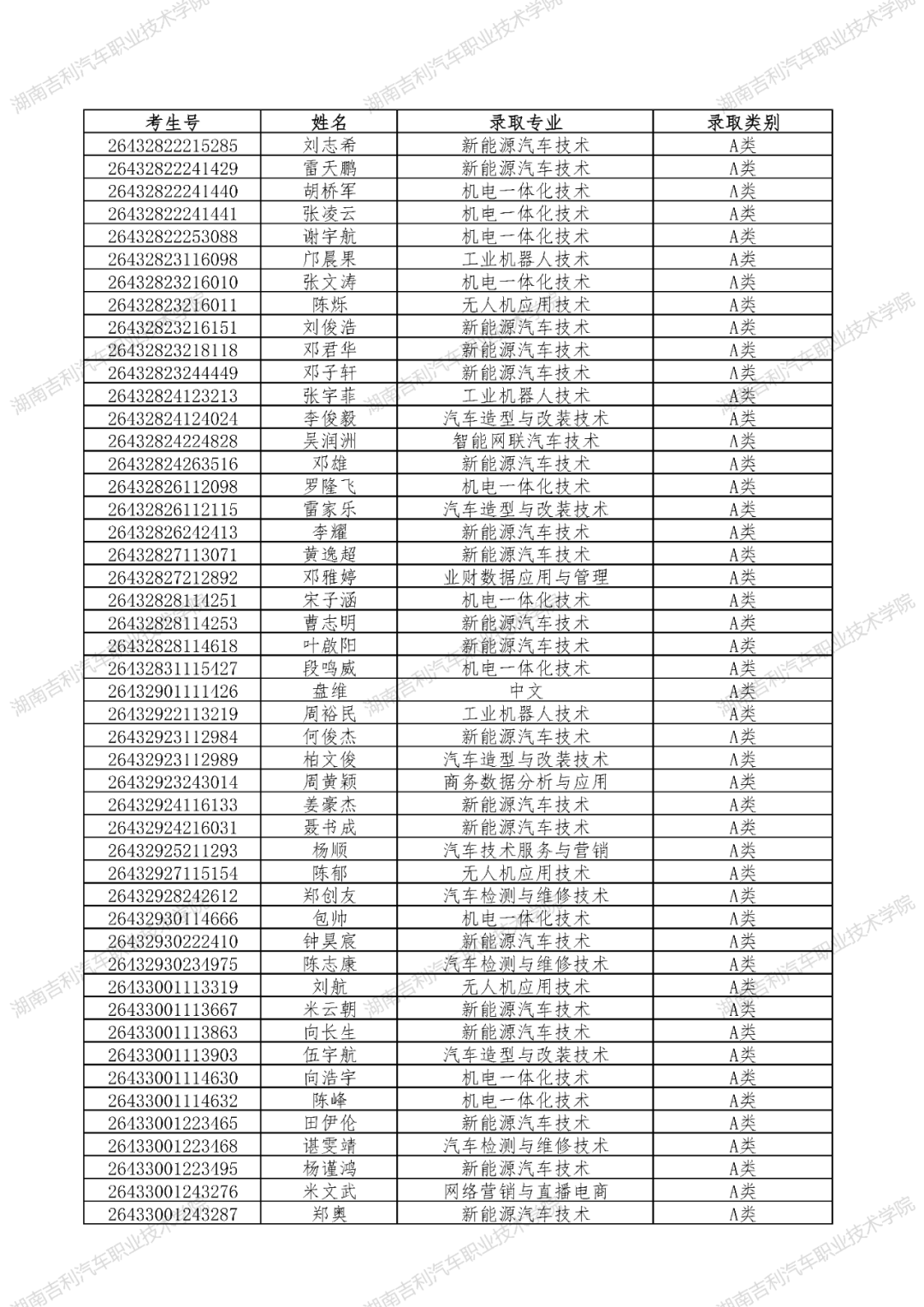
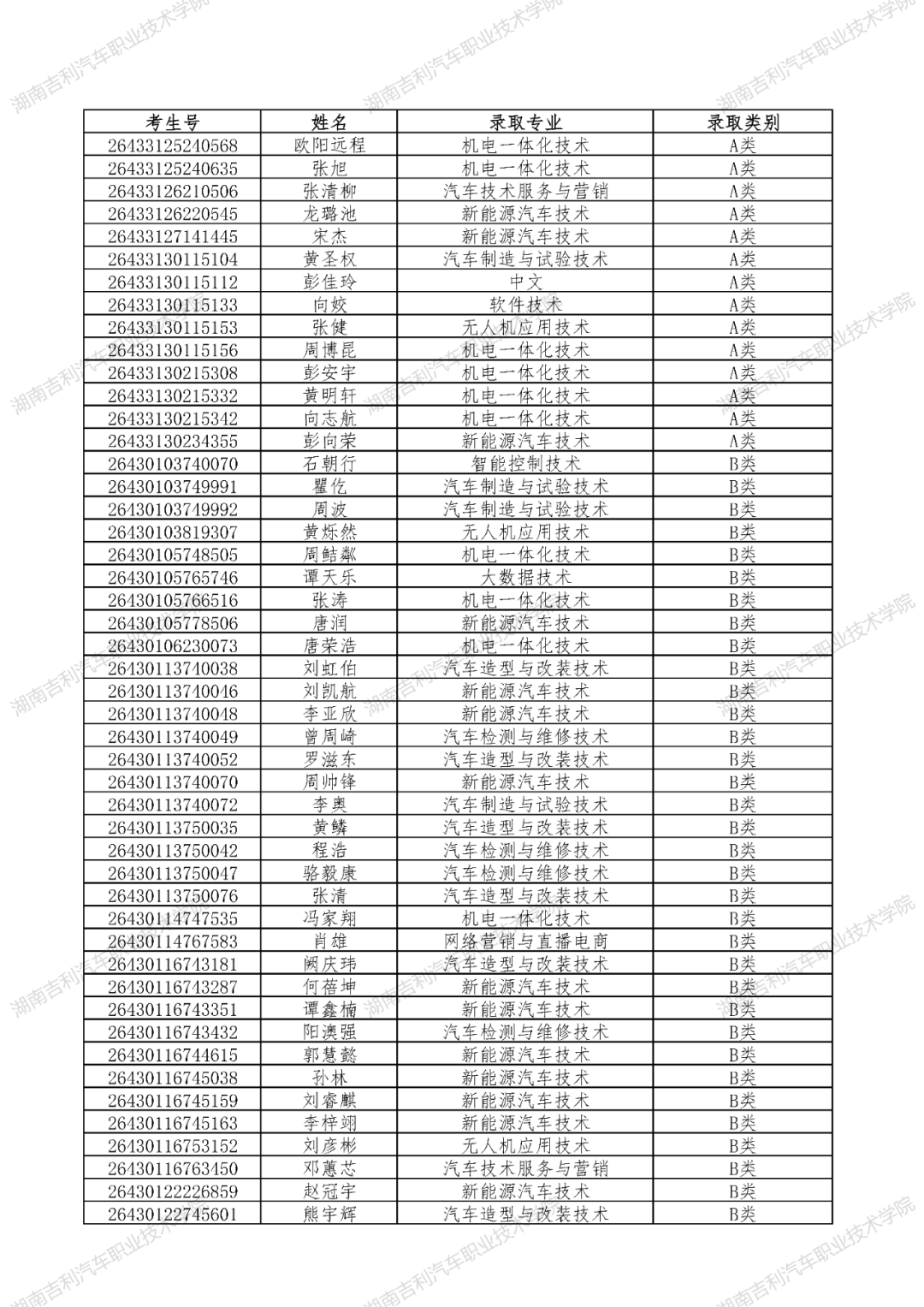
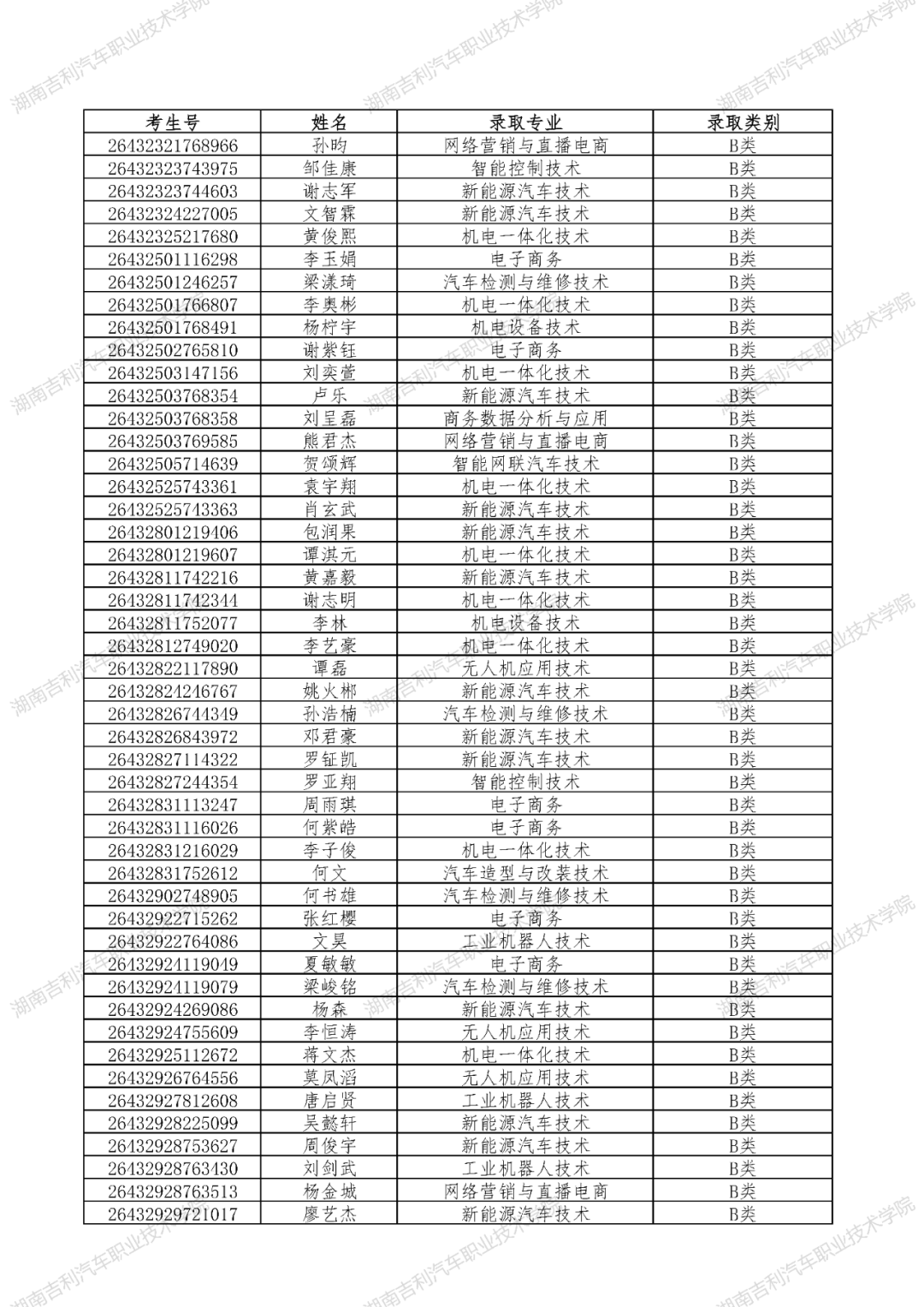
拟录取名单:详见附件《2026年单独招生一志愿拟录取考生名单》。
查询渠道:考生可通过访问学校官方网站(https://hnqczy.cn)或关注学校官方微信公众号查询本人拟录取结果。
三、特别说明
1.根据我省单招政策,凡被本次单招录取的考生,一律不得再参加湖南省2026年普通高校招生全国统一考试(含对口招生考试)。
2.考生最终录取结果,请于2026年4月7日后登录“考生信息填报系统”查询。
3.对拟录取结果有异议的考生或家长,请于公示期内以书面形式向我校招生办公室反映。
联系电话:0731-52867887
电子邮箱:2469706765@qq.com
湖南吉利汽车职业技术学院
2026年3月29日
附件:2026年单独招生一志愿拟录取考生名单














